Selectividad: examen resuelto de Matemáticas II (convocatoria junio 2019, Andalucía)
En este artículo vamos a darte las soluciones al examen de la asignatura de Selectividad de Matemáticas II de la convocatoria de junio de 2019 (Andalucía, Ceuta, Melilla y centros en Marruecos).
Nuestro equipo de profesores han resuelto todas las preguntas de las dos opciones que se planteaban y han preparado un documento en PDF que puedes descargarte de forma gratuita.
Este fue el examen de Matemáticas II de la Prueba de Acceso y Admisión a la Universidad (PEvAU) de junio de 2019:

OPCIÓN A
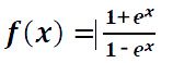
Ejercicio 1.
Considera la función 𝒇 definida por

𝒂) [𝟏,𝟓 𝑷𝒖𝒏𝒕𝒐𝒔] Estudia y determina las asíntotas de la gráfica de 𝒇.
𝒃) [𝟏 𝒑𝒖𝒏𝒕𝒐] Determina los intervalos de crecimiento y decrecimiento de 𝒇.
Ejercicio 2. [2,5 Puntos]
Sea la función 𝒇:(𝟎,+∞) → ℝ definida por

Halla la primitiva de 𝒇 cuya gráfica pasa por el punto (𝟏,𝟏). (Sugerencia: cambio de variable 𝒕 = 𝒆𝒙).
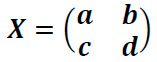
Ejercicio 3.
Calcula todas las matrices

tales que 𝒂 + 𝒅 = 𝟏, tienen determinante 1 y cumplen 𝑨𝑿 = 𝑿𝑨, siendo

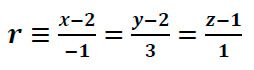
Ejercicio 4.
Considera la recta

y los planos 𝝅𝟏 ≡ 𝒙 = 𝟎 y 𝝅𝟐 ≡ 𝒚 = 𝟎.
𝒂) [𝟏,𝟐𝟓 𝒑𝒖𝒏𝒕𝒐𝒔] Halla los puntos de la recta 𝒓 que equidista de los planos 𝝅𝟏 𝒚 𝝅𝟐.
𝒃) [𝟏,𝟐𝟓 𝒑𝒖𝒏𝒕𝒐𝒔] Determina la posición relativa de la recta 𝒓 y la recta intersección de los planos 𝝅𝟏 𝒚 𝝅𝟐.
OPCIÓN B
Ejercicio 1.
Considera la función 𝒇 : ℝ → ℝ definida por 𝒇(𝒙) = (𝒙 − 𝒂)𝒆𝒙.
𝒂) [1,25 puntos] Determina 𝒂 sabiendo que la función tiene un punto crítico en 𝒙 = 𝟎.
𝒃) [1,25 puntos] Para 𝒂 = 𝟏, calcula los puntos de inflexión de la gráfica de 𝒇.
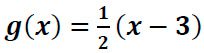
Ejercicio 2.
Considera las funciones 𝒇: (−𝟐,+∞) → ℝ, definida por 𝒇(𝒙) = 𝐥𝐧(𝒙 + 𝟐) y 𝒈: ℝ → ℝ, definida por

𝒂) [1 punto] Esboza el recinto que determinan la gráfica de 𝒇, la gráfica de 𝒈, la recta 𝒙 = 𝟏 y la recta 𝒙 = 𝟑. (No es necesario calcula los puntos de corte entre las dos gráficas).
𝒃) [1,5 puntos] Determina el área del recinto anterior.
Ejercicio 3.
Dadas las matrices



considera el sistema de ecuaciones lineales dado por 𝑿𝒕𝑨 = 𝑩𝒕. Discútelo según los distintos valores de 𝒎.
Ejercicio 4.
Considera el triángulo cuyos vértices son los puntos 𝑨(𝟏,𝟏,𝟎), 𝑩(𝟏,𝟎,𝟐) 𝒚 𝑪(𝟎,𝟐,𝟏).
𝒂) [1,25 puntos] Halla el área de dicho triángulo.
𝒃) [1,25 puntos] Calcula el coseno del ángulo en el vértice A.
—
Solución al examen
Descarga ahora el examen resuelto de Matemáticas II
En nuestro blog...
Andalucía publica la convocatoria de oposiciones docentes (2026)
Fecha: 26 de febrero de 2026Convocadas las oposiciones docentes en Andalucía 2026: 5.047 plazas de ingreso y 120 de acceso a Secundaria. Consulta especialidades, plazos…Convocatoria de Tropa y Marinería 2026: prepara tu ingreso en las Fuerzas Armadas
Fecha: 1 de febrero de 2026Consulta la convocatoria de Tropa y Marinería 2026: plazas, requisitos, pruebas psicotécnicas y cómo prepararte con simulacros online para conseguir…PAU 2025 Andalucía: examen resuelto de Latín
Fecha: 26 de noviembre de 2025Descarga gratis el examen resuelto de Latín de Selectividad 2025 (junio, Andalucía). Corrección detallada por docentes expertos.PAU 2025 Andalucía: examen resuelto de Física
Fecha: 27 de noviembre de 2025Descarga gratis el examen resuelto de Física de Selectividad 2025 (junio, Andalucía). Corrección detallada por docentes expertos.PAU 2025 Andalucía: examen resuelto de Química
Fecha: 29 de noviembre de 2025Descarga gratis el examen resuelto de Química de Selectividad 2025 (junio, Andalucía). Corrección detallada por docentes expertos.